成考答案出炉!2020年成人高考各科考试【真题答案】~速对!
成考答案出炉!2020年成人高考各科考试【真题答案】~速对!
本篇目录(以下答案仅供参考,具体以官方信息为主):
1、专本本(政治)
2、专升本(英语)
3、高起点(语文)
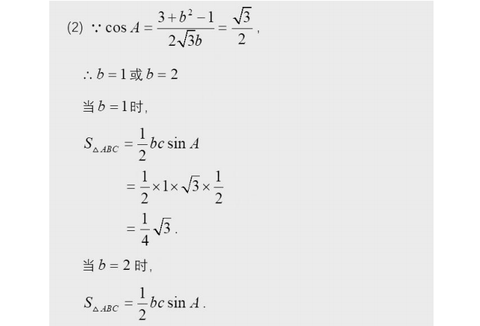
4、高起点(数学)
5、其它科目答案陆续更新中...
02 专升本(英语)
03 高起点(语文)
04 高起点(数学)
升学规划-志愿填报-大专本科-学士学位-考研申硕
欢迎咨询周老师(189 0777 3301 微信同号)





广西成人高考报名条件:
广西成人高考报考条件:
1、高中起点专科: 凡年满18周岁,有身份证者,均可报考。
2、专科起点本科:凡具备国民教育系列专科以上学历者,均可报考。
1、预报名后,负责老师会为考生提供从复习、报名、现场确认、考试、录取、报到的全程指导服务;
2、预报名后,负责老师会为考生讲解所报考院校的录取分数线、录取后的学习形式(网上学习还是到校学习),毕业要求等信息,方便考生选择适合自己的院校和专业;
3、预报名后,符合条件可申请免试入学及加分照顾,例如如何申请满25周岁加20分政策等;
4、预报名后,可享受专业的考前培训辅导,提供内部纸质的考试重点复习资料,让考试轻松简单,确保考生顺利录取;
5、特别提醒:成人高考只有考试通过后,被报考院校录取,才会收取学费,学费标准应以广西成人高考招生考试网及学校官方公布的学费为准,谨防乱收费,请考生熟知。
广西成人高考招生院校(排名不分先后):
南宁师范大学,桂林理工大学,广西财经学院,桂林电子科技大学,广西民族大学,广西开放大学,广西警察学院,广西师范大学,广西中医药大学,广西医科大学,桂林医科大学,广西科技大学,北部湾大学,玉林师范学院,桂林航天工业学院,广西艺术学院,右江民族医学院,桂林学院,百色学院,贺州学院,河池学院,南宁学院,广西外国语学院,广西农业职业技术大学,南宁理工学院,广西幼儿高等专科学校,柳州城市学院,广西工程职业技术学院,广西安全工程职业学院,广西工业职业技术学院,广西科技职业学院等
广西成人高考考点分布:


学士学位授予条件:本科毕业生学完教学计划的各项要求,其课程学习成绩的加权平均分在70.0分以上,毕业论文(毕业设计或其他毕业实践环节)的成绩在及格以上并通过论文答辩,可以申请授予学士学位。


2025年广西成人高考指导报名入口(考生点击报名)
2025成人高考考试时间:10月18-19日(暂定,依考试院公告为准)
广西成人高考信息可咨询在线招生老师电话:
周老师 18907773301、QQ:511566526
周老师 19126227751 、18070776035、19177718919
广西各城市均设有考点:南宁成人高考报名、柳州成人高考报名、桂林成人高考报名、玉林成人高考报名、梧州成人高考报名、河池成人高考报名、百色成人高考报名、崇左成人高考报名、钦州成人高考报名、北海成人高考报名、贺州成人高考报名、来宾成人高考报名、贵港成人高考报名、防城港成人高考报名等。
请关注广西成人高考函授招生网(广西函授网)抖音号zh511566526
广西招生考试院/广西普通高考/广西公办高职高专/广西职教高考/单招对口招生信息/对口升学/单招升学/公办高职高专招生/全日制统招/专升本/预科班/中职招生/成人高考/职业证书/教育信息/升学信息/培训信息/指导学生/分数线/阅读院校/院校美景/就业指导等重要信息发布!